對稱上調式三輥卷板機工作能力的簡便換算公式
對稱上調式三輥卷板機工作能力的簡便換算公式,這個公式是以機器在最大工作能力時的強度和剛度要求為標準的,在卷筒直徑、卷板寬度、板材屈服極限變化后,進行選擇卷板的最大厚度。
主參數B、σs不變,最小卷筒直徑D變化時,相應的最大卷板厚度為
H=C1H0
當D≥D0時,H=(0.03D/D0+0.97)H0
當D0/2≤D<D0時,H=(0.3D/D0+0.7)H0
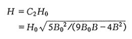
主參數D、σs不變,卷制板寬B變化時,相應的最大卷板厚度為

主參數D、B不變,板材屈服極限σs變化時,相應的最大卷板厚度為

以上三種情況為某一主參數變化而影響板厚變化的情況。對稱上調式三輥卷板機實際工作中,通常是多個主參數同時變化,尤其是D、B的變化,需通過上述三種情況聯立求解得允許卷板的最大厚度。
上一頁:手動卷圓機有哪些部分組成
下一頁:卷圓機由哪幾大部分組成








